Ответы
Ответ дал:
1
Вот, вроде все верно.
Решения на фото
Решения на фото
Приложения:

Ответ дал:
0
Ответ:
В решении.
Объяснение:
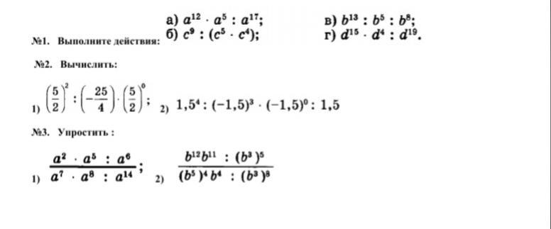
1. Выполнить действия:
а) а¹² * а⁵ : а¹⁷ = а¹²⁺⁵ : а¹⁷ = а¹⁷ : а¹⁷ = 1;
б) с⁹ : (с⁵ * с⁴) = с⁹ : с⁵⁺⁴ = с⁹ : с⁹ = 1;
в) b¹³ : b⁵ : b⁸ = b¹³⁻⁵ : b⁸ = b⁸ : b⁸ = 1;
г) d¹⁵ * d⁴ : d¹⁹ = d¹⁵⁺⁴ : d¹⁹ = d¹⁹ : d¹⁹ = 1.
2. Вычислить:
а) (5/2)² : (-25/4) * (5/2)⁰=
=25/4 : (-24/4) * 1 =
= -1 * 1 = -1.
б) 1,5⁴ : (-1,5)³ * (-1,5)⁰ : 1,5=
= -1,5 * 1 : 1,5 = -1.
3. Упростить:
а) (а² * а⁵ : а⁶) / (а⁷ * а⁸ : а¹⁴)=
=(а²⁺⁵ : а⁶) / (а⁷⁺⁸ : а¹⁴) =
=(а⁷ : а⁶) / (а¹⁵ : а¹⁴) =
= а⁷⁻⁶ / а¹⁵⁻¹⁴ =
= а / а = 1.
б) (b¹² * b¹¹ : (b³)⁵ / (b⁵)⁴ * b⁴ : (b³)⁸ =
=(b¹²⁺¹¹ : b³*⁵) / (b⁵*⁴⁺⁴ : b³*⁸) =
=(b²³ : b¹⁸) / (b²⁴ : b²⁴) =
=b²³⁻¹⁸ / 1 = b⁵. (b в пятой, если плохо видно).
Вас заинтересует
2 года назад
2 года назад
2 года назад
7 лет назад
7 лет назад
9 лет назад