• Предмет: Химия
  • Автор: Аноним
  • Вопрос задан 3 года назад

помогите пожалуйста с балами не обижу ​

Приложения:

Ответы

Ответ дал: Rosig
1

Ответ:

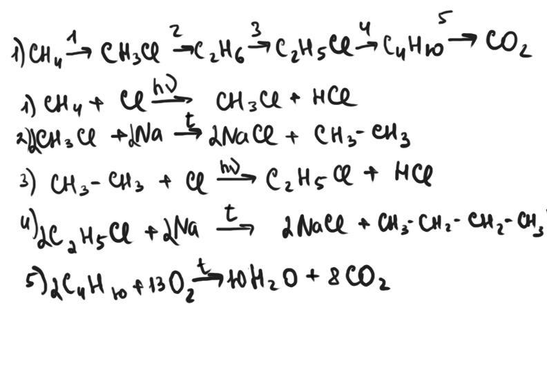
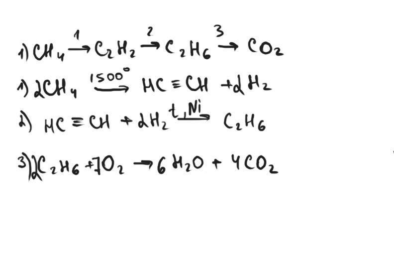
Решение на фото:

Объяснение:

Приложения:

Аноним: помоги пожалуйста зайди в мои вопросы
Rosig: извини, я сейчас не могу, уже очень поздно
Аноним: завтра сделаешь ??
Аноним: чувак сделай пж
selfcare39: Здравствуйте, помогите пожалуйста с химией! задание у меня в профиле! отмечу 5 звёзд и сделаю лучший ответ!
Rosig: очень грубую ошибку допустила на второй картинке, молекула хлора состоит из 2-ух атомов, двоечку следует дописать, как у кислорода.
Ответ дал: Аноним
1

Ответ:

на фотке......... .. ..

Приложения:

Аноним: привет помоги с химией зайди в мои вопросы
Аноним: помоги с химией зайди в мои вопросы
Аноним: привет помоги пж с химией с новыми заданиями
Аноним: привет
Аноним: ок щас посмотрю
Вас заинтересует