• Предмет: Физика
  • Автор: dinaratineryanova
  • Вопрос задан 3 года назад

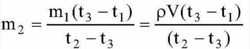
в ведро налито 5 л холодной воды, температура которой 9 градусов. сколько кипятка нужно долить в ведро, чтобы получить теплую воду температурой 30 градусов. потерями энергии следует пренебречь​

Ответы

Ответ дал: blyaaaaa55
3

Ответ будет: 1,5 л. (на всякий случай отправила полное решение)

Приложения:
Ответ дал: ismailovamavi02
0

Ответ:

1,5 л.правильный ответ

Вас заинтересует