• Предмет: Математика
  • Автор: gikmadev
  • Вопрос задан 3 года назад

помогите пожалуйста
выполните вычитание:

Приложения:

gliffongl: Может дашь кому-то лучший ответ?
gliffongl: Может оценишь наши ответы?

Ответы

Ответ дал: aika251804
1

Пошаговое объяснение:

)))))))))))))))))))))))))))))))

Приложения:

gliffongl: А он помет, что нужно перевести в правильную дробь?
gliffongl: Заказчик даже не оценил наши ответы
gikmadev: извиняюсь был немного занят, ноз не нужно было но спасибо
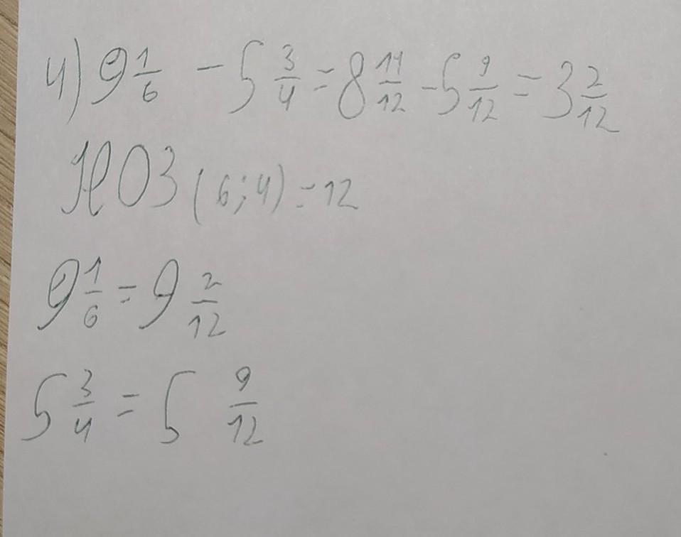
Ответ дал: gliffongl
1

Ответ:

Переводить в ноз и решать, легко

Приложения:
Вас заинтересует