• Предмет: Алгебра
  • Автор: Аноним
  • Вопрос задан 3 года назад

Помаги пж пж пж пж даю 20 балов!!!заранее спасибо большое!!!

Приложения:

Ответы

Ответ дал: tank04kit
1

Ответ:

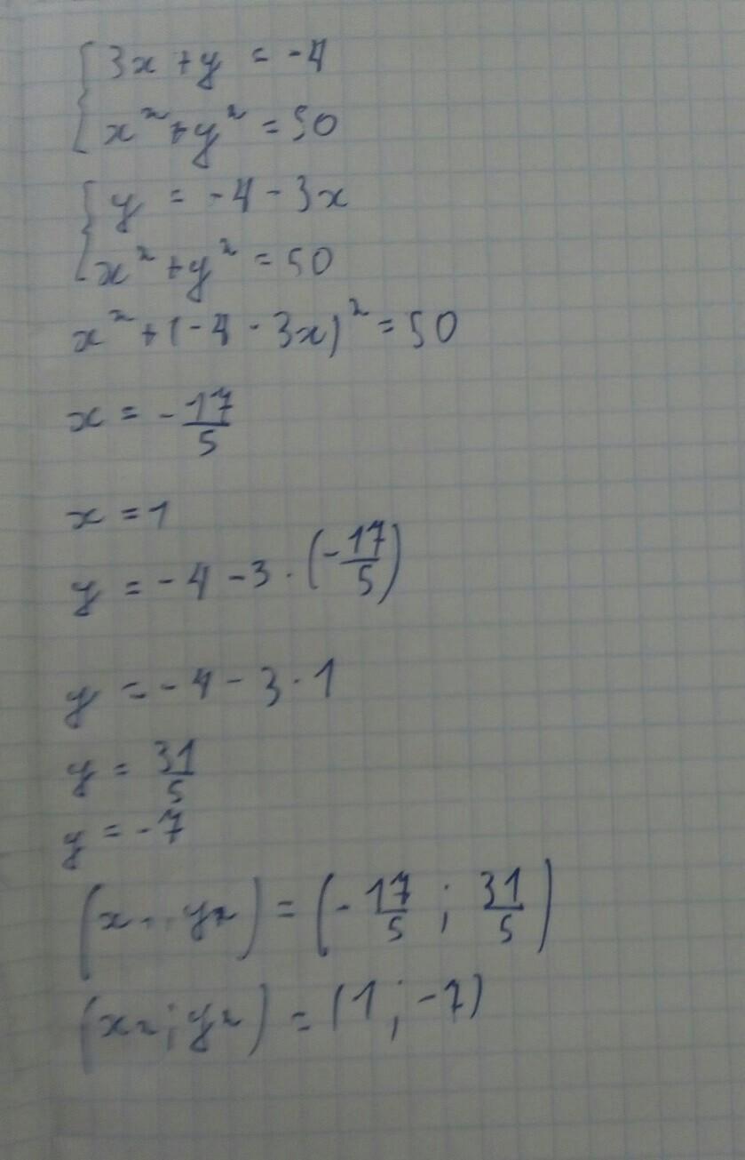
Ответ на фото, вроде все правильно)!

Приложения:

Аноним: Спасибо
Вас заинтересует