• Предмет: Алгебра
  • Автор: nikita8bainov
  • Вопрос задан 3 года назад

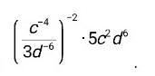
упрастите выражение:​

Приложения:

Ответы

Ответ дал: leradumina74
0

Ответ:

. .................

Объяснение:

............

Приложения:

nikita8bainov: это правильно?
Вас заинтересует