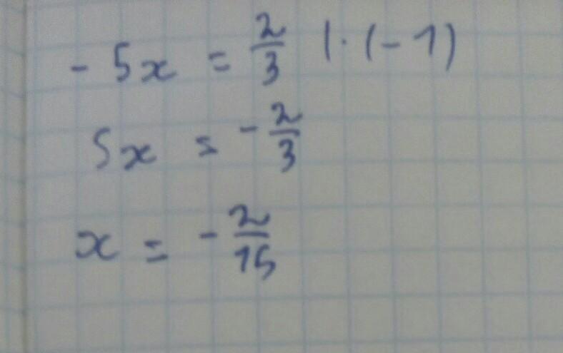
Решите уравнение -5х=2/3 укажите два целых числа между которыми находиться его корень
ПЛИЗЗЗЗ!!!!!!!!!!
Ответы
Ответ дал:
1
Ответ:
Ответ на фото, уравнение решил, а остальное хз!
Приложения:

Вас заинтересует
2 года назад
2 года назад
2 года назад
2 года назад
7 лет назад
7 лет назад
9 лет назад