• Предмет: Алгебра
  • Автор: auezkhanova06
  • Вопрос задан 3 года назад

дам 50 баллов!!!!
по быстрее






Приложения:

Ответы

Ответ дал: SLAVERxALFA
1

Объяснение:

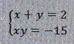
x+y=2

xy=-15

x*(2-x)= -15

2-x= -15/x

x= -3

-3+y=2

y=2+3

y=5

x= -3

y=5


auezkhanova06: надеюсь правильно(
Вас заинтересует