• Предмет: Алгебра
  • Автор: Iltokk
  • Вопрос задан 3 года назад

Освободитесь от иррациональности в знаменателе дроби, прошу помогите

Приложения:

Ответы

Ответ дал: matilda17562
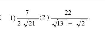
1

Решение:

а) 7/(2√21) = (7•√21)/(2√21•√21) = 7√21/(2•21) = √21/(2•3) = √21/6.

Числитель и знаменатель домножили на такой же корень, т.е. на √21.

б) 22/(√13-√2) = ​22(√13+ √2)/((√13 +√2)•(√13-√2))= ​​22(√13+√2)/((√13)²- (√2)²) = 22(√13+√2)/(13-2) = 22(√13+√2)/11 = 2(√13+√2) = 2√13 + 2√2.

Числитель и знаменатель дроби умножили на сопряжённое выражение. Сопряжённым к выражению (√13-√2) является выражение (√13+√2).

Вас заинтересует