• Предмет: Алгебра
  • Автор: Аноним
  • Вопрос задан 3 года назад

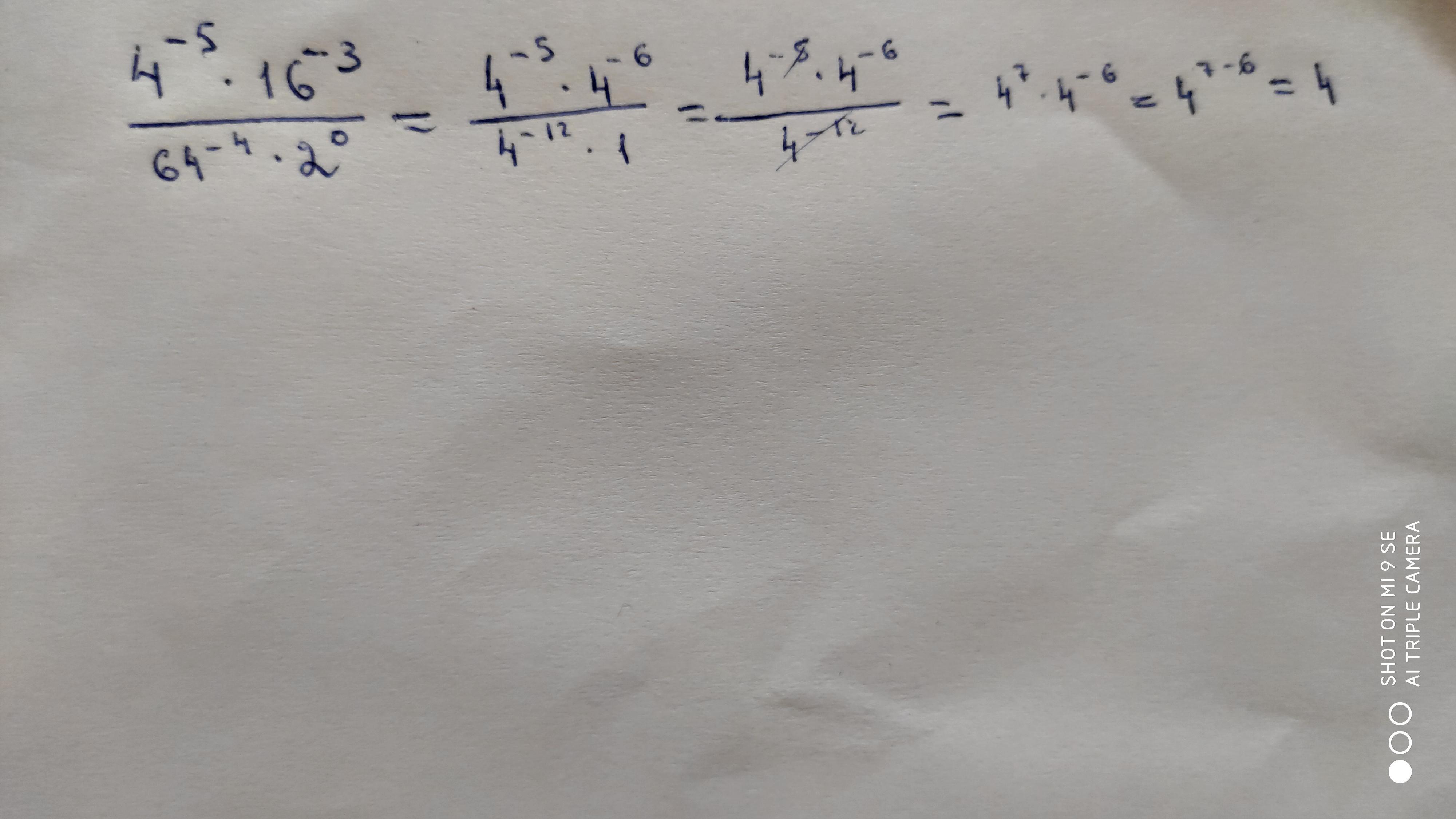
Вычисли:
помогите пожалуйста , я забыла как решать ​

Приложения:

Ответы

Ответ дал: Mica6351
1

Ответ: ответ правильный

Объяснение:

Приложения:

Аноним: спасибо большое, я возьму твой ответ!
Mica6351: Незачто
Вас заинтересует