• Предмет: Алгебра
  • Автор: 45Andrey54
  • Вопрос задан 3 года назад

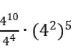
Вычислите значение выражения помогите срочно даю 35 балов

Приложения:

Ответы

Ответ дал: egorbrybin
1

Ответ:

4^16

Объяснение:

4^10/4^4*4^10=4^6*4^10=4^16


45Andrey54: спасибо
Ответ дал: zraa2120
0

Ответ:

4^16

Объяснение:

4^10-4×4^2×5=4^6×4^10=4^6+10=4^16

Вас заинтересует