• Предмет: Геометрия
  • Автор: hendjin
  • Вопрос задан 3 года назад

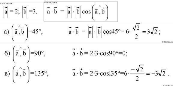
найдите скалярное произведение векторов a и b ,если |а| = 2 |б|=5 <( а б ) =п/в градусов

Ответы

Ответ дал: nastyagonchar08
1

//////////////////==

Приложения:
Вас заинтересует