• Предмет: Алгебра
  • Автор: zanarzumagazy
  • Вопрос задан 3 года назад

Көмек берсенздер есепке​

Приложения:

Ответы

Ответ дал: parus77
0

Ответ:

Объяснение:

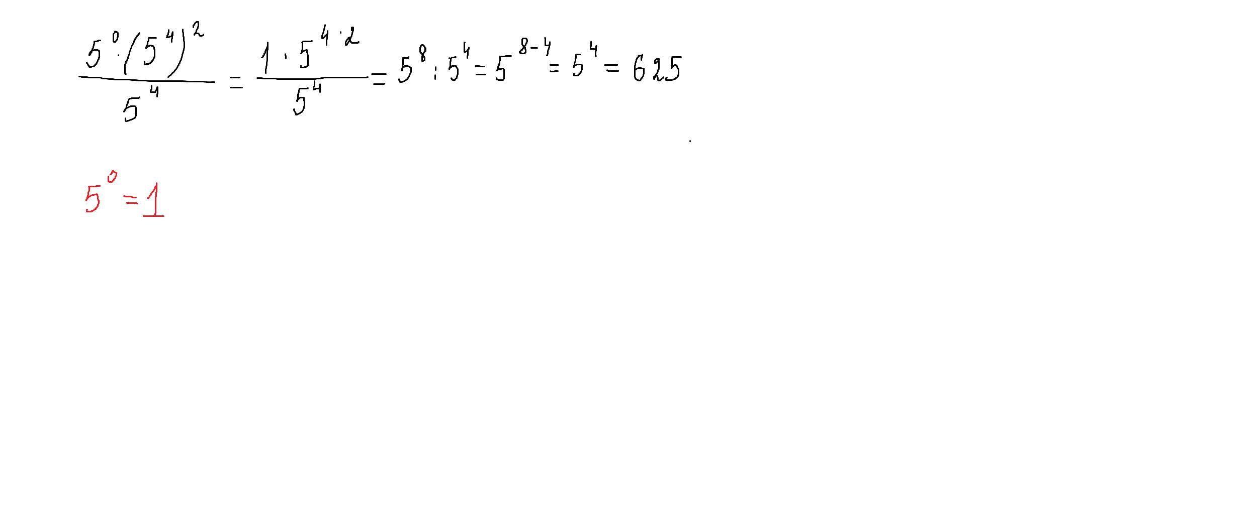
решение внизу

Приложения:
Вас заинтересует