• Предмет: Алгебра
  • Автор: ilona112806
  • Вопрос задан 3 года назад

срочно помогите пожалуйста​

Приложения:

Ответы

Ответ дал: mgm825474
1

Ответ:

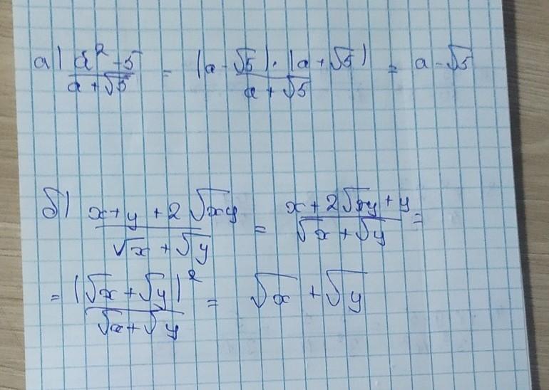
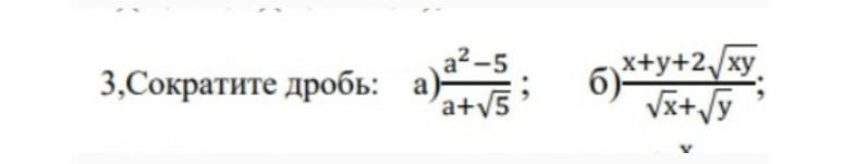
ответ на фото, надеюсь что видно )

Приложения:

ilona112806: спасибо
Ответ дал: griber339
0

Ответ:

а²-5/а+\|5

(а-\|5)×(а+\|5)/а+\|5

а-\|5

Вас заинтересует