дам 20 баллов помогите...
1)Введите иррациональные числа
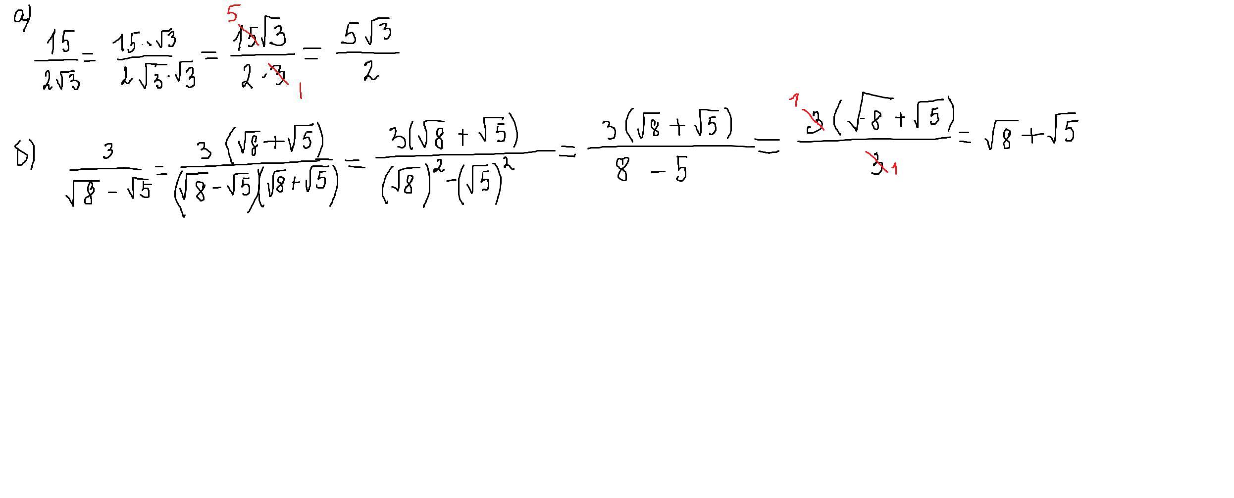
3)Избавьтесь от иррациональности в разделе детали
Приложения:

Ответы
Ответ дал:
1
Ответ:
Объяснение:
1.
√17 2√2 π 4,(7)
Приложения:

Вас заинтересует
2 года назад
2 года назад
7 лет назад
9 лет назад
-------
√8-√5