Ответы
Ответ дал:
2
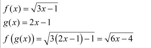
Ответ:
Объяснение:
////////////////////////////////////////////
Приложения:

Damir0525:
Можете мне еще помочь? Я прикрепил вопросы в профиле
Вас заинтересует
2 года назад
2 года назад
7 лет назад
9 лет назад