• Предмет: Алгебра
  • Автор: vanadanilov2007
  • Вопрос задан 3 года назад

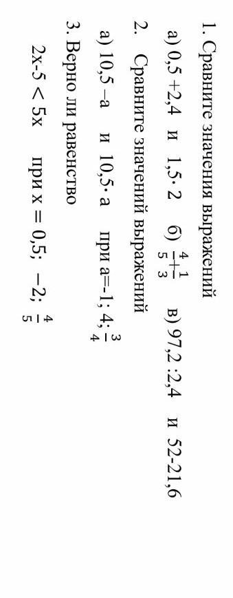
СРОЧНО НУЖНА ПОМОЩЬ ОЧЕНЬ ПРОШУ ВАС ОТДАМ ВСЕ СВОИ БАЛЛЫ ​

Приложения:

Ответы

Ответ дал: skoobigoooo
1

1)0,5+2,4<1,5*2 , в "б" с чем сравнить? в 97,2:2,4>52-21,6

2)10,5-(-1)>10,5*(-1)

10,5-5<10,5*4

10,5-3/4>10,5*4/4

3)2*0,5<5*0,5 правильно

2*-2<5*-2 не правильно

2*4/5<5*4/5 не правильно


vanadanilov2007: в б я тоже ничего не понял но спаси бо
Вас заинтересует