• Предмет: Математика
  • Автор: Аноним
  • Вопрос задан 3 года назад

Помогите пж.
Ответьте с фоткой. Пж пж пж​

Приложения:

Ответы

Ответ дал: perizatbekali
0

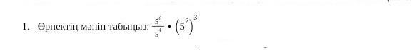
Ответ:

5⁸

Пошаговое объяснение:

....................


Аноним: С фотомачом ответила
perizatbekali: всмысле?
perizatbekali: дорогая я не использую фотомач
Вас заинтересует