• Предмет: Алгебра
  • Автор: kami2027
  • Вопрос задан 3 года назад

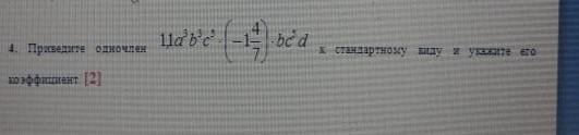
приведите одночлен к стандартному виду и укажите его коэффициент.
Пж помогите срочно​

Приложения:

Ответы

Ответ дал: tatsach
1

Ответ:

Объяснение:

....................

Приложения:

kami2027: Спасибо огромное вы спасли меня
kami2027: Благодарю вас
tatsach: Пожалуйста
Вас заинтересует