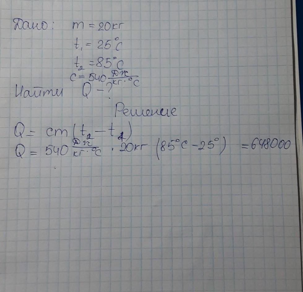
Перед горячей штамповкой свинцовую болванку массой 2 кг нагрели от 25 до 85°С. Какое количество теплоты получила болванка? Нужно напесать: дано; найти; если надо то СИ; и решение; ответ. пожалуйста срочно надо
Ответы
Ответ дал:
1
Объяснение:
........................................
Приложения:

Вас заинтересует
2 года назад
2 года назад
2 года назад