• Предмет: Математика
  • Автор: karjaymagjan
  • Вопрос задан 3 года назад

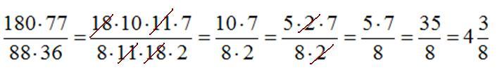
Сократи дробь, ответ запиши в виде смешанного числа.

Приложения:

Ответы

Ответ дал: Санечка69
1

Сократить дробь - это значит разделить числитель и знаменатель дроби на такие одинаковые числа, чтобы дробь стала несократимой.

Поэтому:

Приложения:
Вас заинтересует