Сложение отрицательных рациональных чисел. Сложение рациональных чисел с разными знаками. Урок 2
Найди значение выражения.
Приложения:

Ответы
Ответ дал:
95
Ответ:вот :
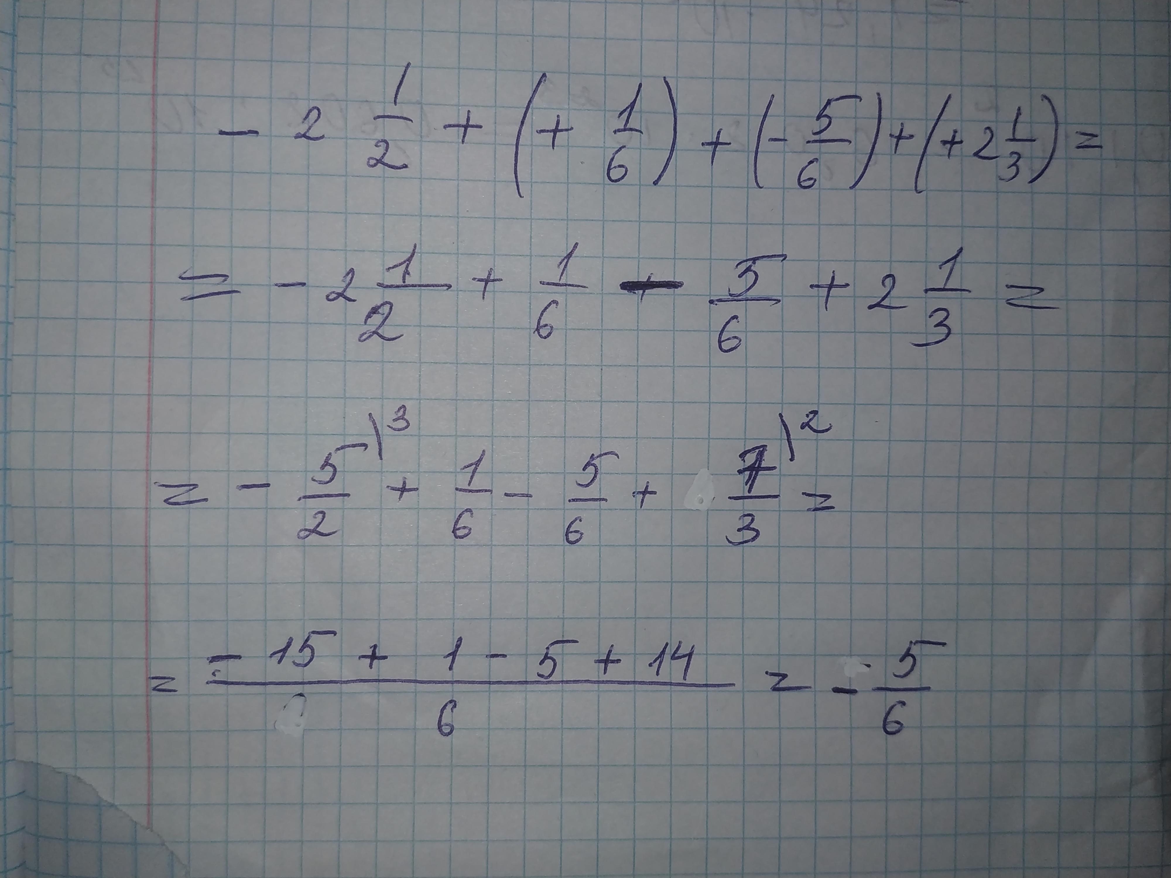
Пошаговое объяснение:
Приложения:

Аноним:
пхахпх
Вас заинтересует
2 года назад
2 года назад
2 года назад
7 лет назад
7 лет назад
9 лет назад
9 лет назад