• Предмет: Математика
  • Автор: mollymoon333
  • Вопрос задан 3 года назад

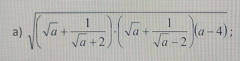
упростите выражение​

Приложения:

Ответы

Ответ дал: irakon63
1

Ответ:

a-1

Пошаговое объяснение:

\sqrt{(\sqrt{a}+\frac{1}{\sqrt{a}+2 }  )(\sqrt{a}+\frac{1}{\sqrt{a}-2 }  )(a-4)} =\\\\\sqrt{(\frac{\sqrt{a}*(\sqrt{a}+2)+1}{\sqrt{a}+2 }  )(\frac{\sqrt{a}*(\sqrt{a}-2)+1}{\sqrt{a}-2 }  ) (a-4)} =\\\\\sqrt{\frac{(a+1+2\sqrt{a} )(a+1-2\sqrt{a} )}{a-4}*(a-4) } =\\\\\sqrt{(a+1+2\sqrt{a} )(a+1-2\sqrt{a} )}=\sqrt{(\sqrt{a} +1)^{2}(\sqrt{a} -1)^{2} } =\\\\(\sqrt{a}+1)(\sqrt{a}  -1)=a-1

Вас заинтересует