Ответы
Ответ дал:
1
Ответ:
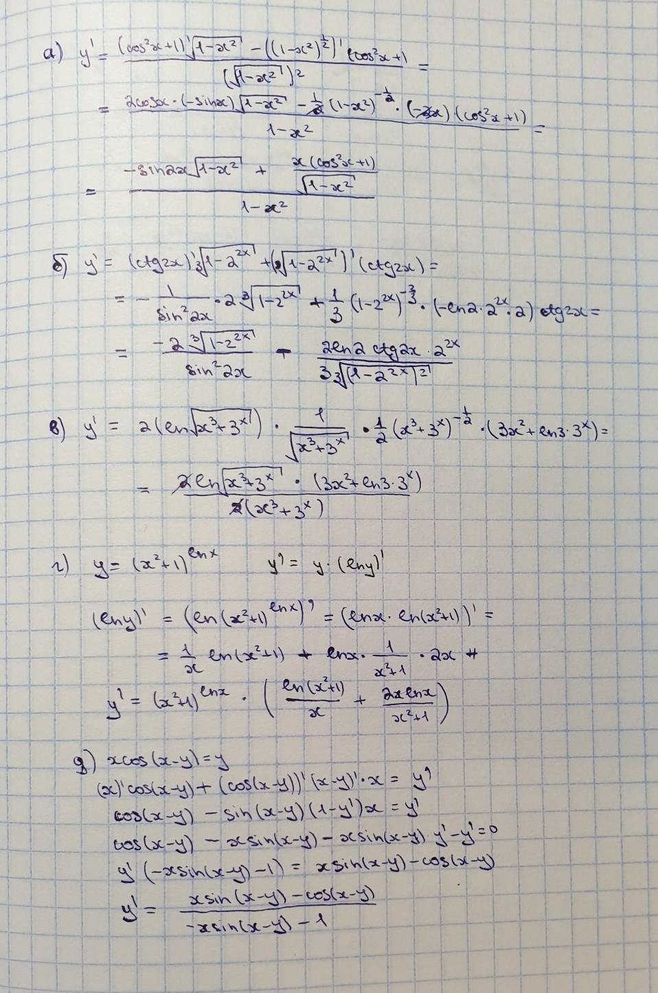
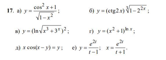
решение на фотографиях
Приложения:


nikitakorolev2:
Товарищ, Родина вас не забудет!!!!
Вас заинтересует
2 года назад
2 года назад
2 года назад
2 года назад
7 лет назад
7 лет назад
9 лет назад