• Предмет: Алгебра
  • Автор: 777alexandr77
  • Вопрос задан 3 года назад

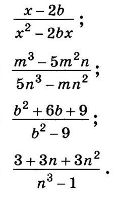
сократить дроби на фото ​

Приложения:

Ответы

Ответ дал: pomosh777m
1

Данный ответ представлен фотографией.

Приложения:
Вас заинтересует