• Предмет: Алгебра
  • Автор: Аноним
  • Вопрос задан 3 года назад

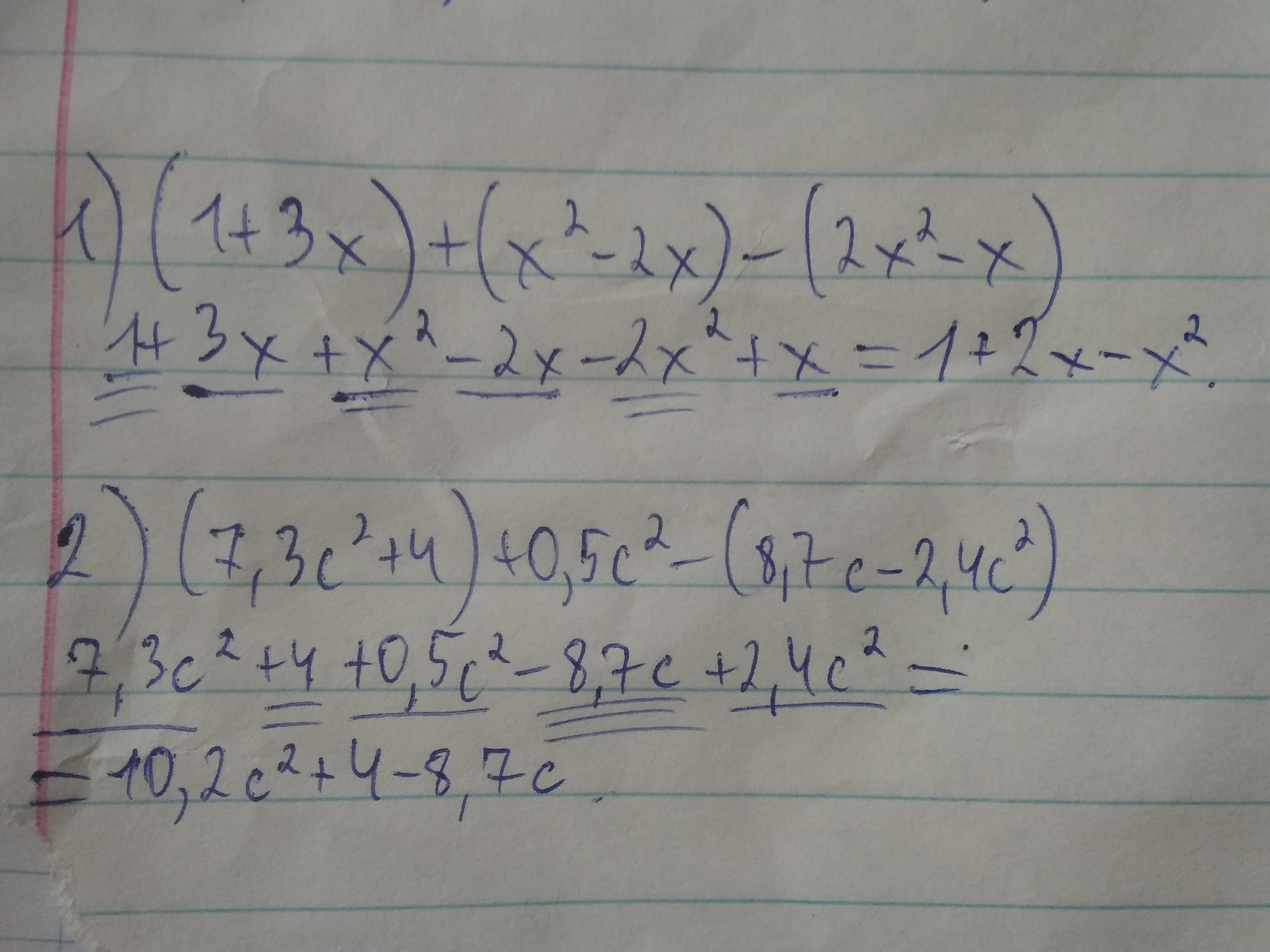
2.39 Преобразуйте в многочлен стандартного вида 1) (1+3x)+(x^2-2x)-(2x^2-x); 2) (7,3c^2+4)+0,5c^2-(8,7c-2,4c^2)​

Ответы

Ответ дал: umkaru2004
18

Ответ:

1)(1+3х)+(х^2-2х)-(2х^2-х) = 1+3х+х^2-2х-2х^2+х = 1+2х-х^2

2)(7,3c^2+4)+0,5c^2-(8,7c-2,4c^2) = 7,3c^2+4+0,5c^2-8,7c+2,4c^2 = 10,2с^2+4-8,7с


umkaru2004: да
Аноним: точно
umkaru2004: 100%
Аноним: спасибо
umkaru2004: Не за что
Аноним: 3)(-12a^2+5a)+(a+11a^2)-(a^2-1)
Аноним: 4)(b^2-5b)+(5b-2b^2)-(4-2b^2)
Tinochka18: Второе точно не правильно
Аноним: я отпарвила учительницу а она сказала правильно
asatsyngys: а где 3.4
Ответ дал: ayladekitty11123
9

Ответ:

(Ответ на фото, заранее пожалуйста:) )

Объяснение:

Сначала надо открыть скобки, а потом уже дальше решать.

Приложения:
Вас заинтересует