• Предмет: Математика
  • Автор: arsensabirov4
  • Вопрос задан 3 года назад

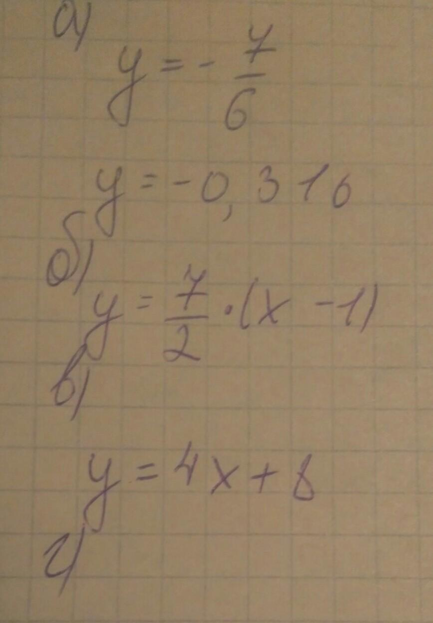
а) 6х+3y-2=0 если у= 3 целых 1,3
б) 3,5х-5y-1= если y =0,5
в) 4х-2y+11=0 если у =-1,5
г) 8х+5н-3=0 если у= 4 целых 2,5 ​


arsensabirov4: можете сделать пж, умолял
arsensabirov4: вы мне поможете
arsensabirov4: = ̄ω ̄=

Ответы

Ответ дал: fedotovan660
0

Ответ:

Прости но г я не знаю так что сорри

Приложения:
Вас заинтересует