• Предмет: Алгебра
  • Автор: 777alexandr77
  • Вопрос задан 3 года назад

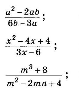
сократить дроби на фото ​

Приложения:

Ответы

Ответ дал: mihailzvezdilin5
1

Ответ:

1) -

  \frac{ - a \times  ( - a + 2b)| }{3(2b - a)}  =  -  \frac{a}{3}

2)

 \frac{(x - 2) {}^{2} }{3(x - 2)}  =  \frac{x - 2}{3}

3) не знаю как решить сорян


777alexandr77: там ошибка
777alexandr77: в примере в самом
777alexandr77: спасибо большое
mihailzvezdilin5: где
mihailzvezdilin5: именно
777alexandr77: в 3 примере
777alexandr77: который ты не смог решить
mihailzvezdilin5: опечатка там?
777alexandr77: да
Вас заинтересует