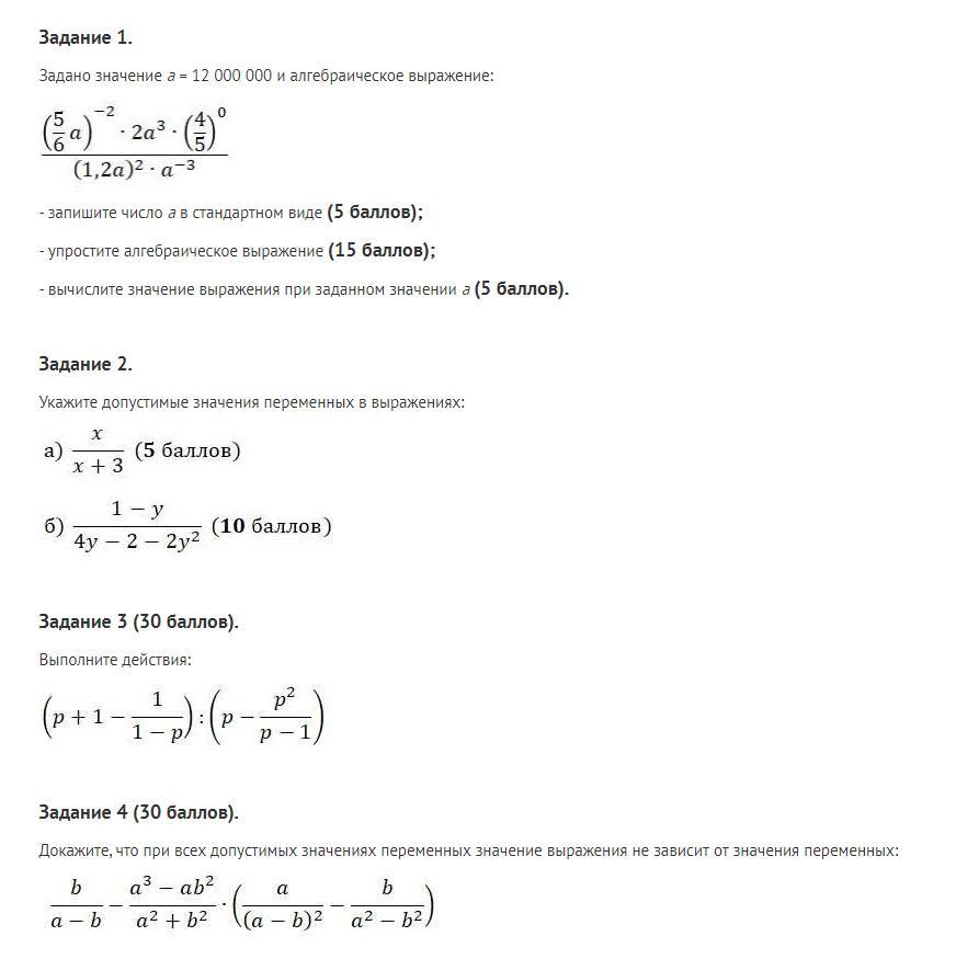
• Предмет: Алгебра
  • Автор: Аноним
  • Вопрос задан 3 года назад

Дам 55 баллов за эту работу!!!!!!!!!!!!!!!!
Кто первый опубликует ответ накину 100 рублей на карту!!!!!!!!!!!!!!!!!!!!!!!
Срочнооооооо!!!

Приложения:

Ответы

Ответ дал: Мишкабаянов
1

Решение на фото

=========

4 не знаю

Приложения:

Мишкабаянов: В 4 какая то ошибка, там нерешаемо
Аноним: бро, отдушии!!
Аноним: ты с интернет урока?
Мишкабаянов: Нет, я обычный школьник
Вас заинтересует