• Предмет: Математика
  • Автор: zannanaumova50
  • Вопрос задан 3 года назад

Помогите пожалуйста,даю 10 баллов! ​

Приложения:

Ответы

Ответ дал: 42ZeBrA24
0

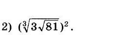
(\sqrt[3]{3\sqrt{81} } )^{2} =(\sqrt[3]{3*9} )^2=(\sqrt[3]{27} )^2=3^2=9

Вас заинтересует