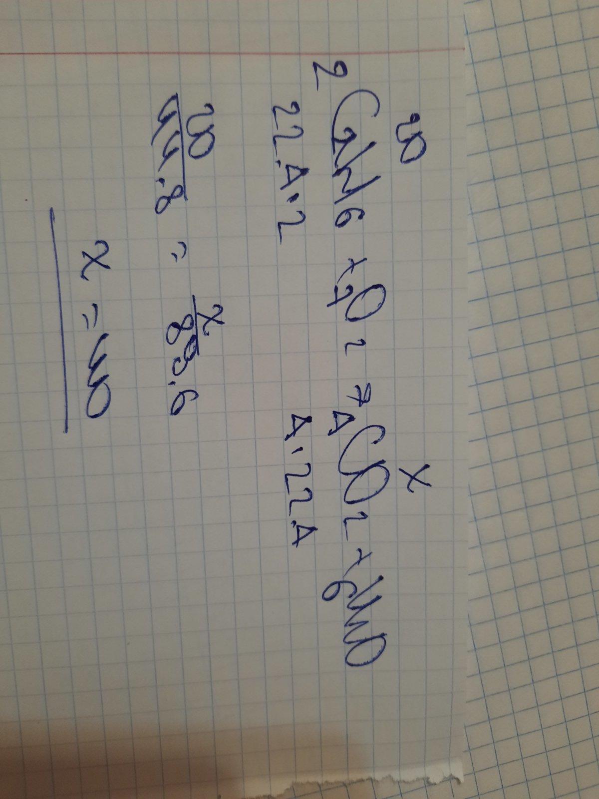
Обчисліть об'єм вуглекислого газу який виділився в результаті тповного згоряння етану об'ємом 20 л
Ответы
Ответ дал:
1
Відповідь:
Пояснення:
Приложения:

bubik15:
а какой ответ,просто не пойму,что за цифра x=?
Вас заинтересует
2 года назад
2 года назад
2 года назад
7 лет назад
9 лет назад