Решите пожалуйста пожалуйста пожалуйста пожалуйста пожалуйста очень срочно, заранее спасибо
Приложения:

Ответы
Ответ дал:
1
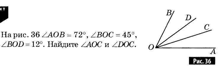
Ответ:
аос = аов - вос= 72- 45= 27
Объяснение:
дос = воа -вод- аос= 72 - 12-27= 33
pomoshnik70:
Я уже решил, спасибо, не могли ли вы решить ещё мои примеры по геометрии, а то это очень важно
Вас заинтересует
2 года назад
2 года назад
2 года назад
7 лет назад
9 лет назад