• Предмет: Алгебра
  • Автор: rahimovamanzura379
  • Вопрос задан 3 года назад

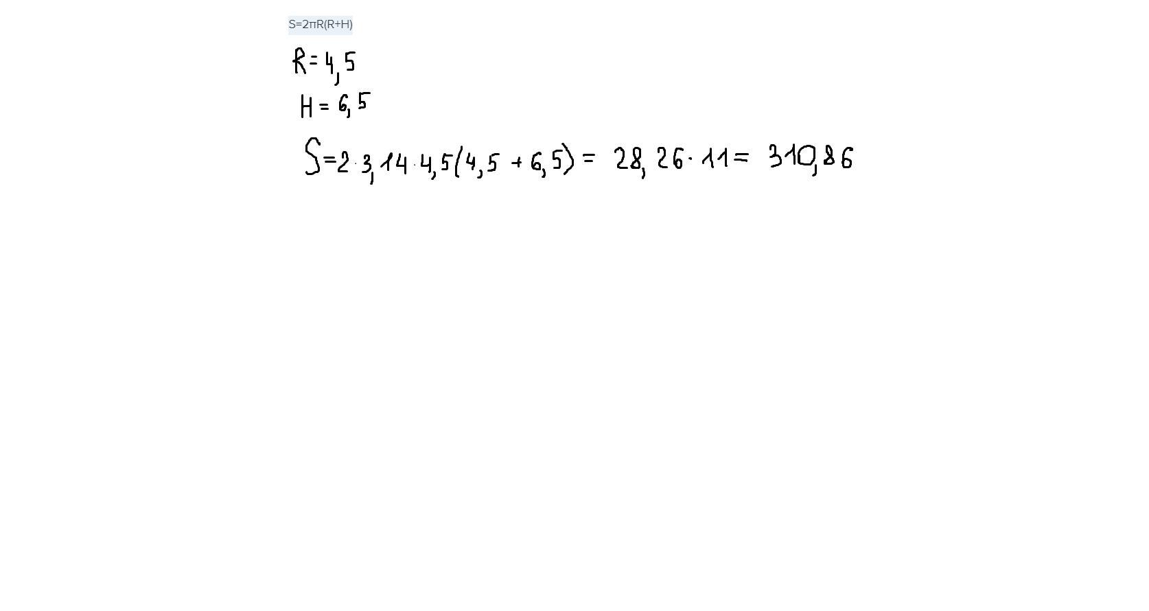
Найдите числовое значение выражения: S=2πR(R+H), если R=4,5 ,H=6,5. ​


rahimovamanzura379: Приыет

Ответы

Ответ дал: katy770
22

Ответ:

Привет)

Решение во вложении, будут вопросы, задавай)

Если не сложно, отметь пожалуйста как лучший ответ))

Объяснение:

Приложения:

farruheminov2007: Пасеба)❤️☺️
Вас заинтересует