• Предмет: Математика
  • Автор: netvoychelik
  • Вопрос задан 3 года назад

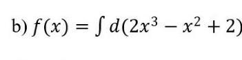
если известно f(2)=14, найдите f(1).
быстро решите пожалуйста

Приложения:

Ответы

Ответ дал: beyblademeliodas
0

Ответ:

f2(2)=14 f1(1)=7

Пошаговое объяснение:

Вроде так было у меня такое так что вроде верный ответ

Вас заинтересует