• Предмет: Математика
  • Автор: kadievasafina8
  • Вопрос задан 3 года назад

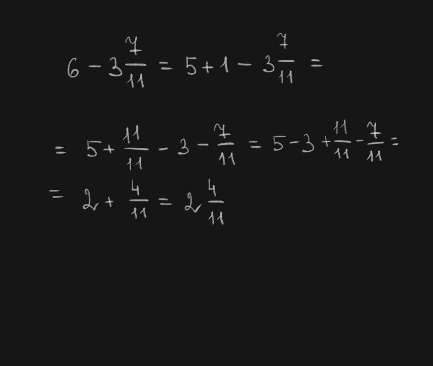
Вычислите: 6-3
целых 7/11​


parus77: 6 - 3 7\11= 5 11\11 - 3 7\11=2 4\11(от целой части отнимаем целую часть,от дробной-дробную)

Ответы

Ответ дал: KseniaHarlequin
10

Ответ:

Решение

Пошаговое объяснение:

Ниже

Приложения:
Вас заинтересует