• Предмет: Химия
  • Автор: BCE3HAЙKA007
  • Вопрос задан 3 года назад

СРОЧНО!!!!ДАЮ 35 БАЛЛОВ
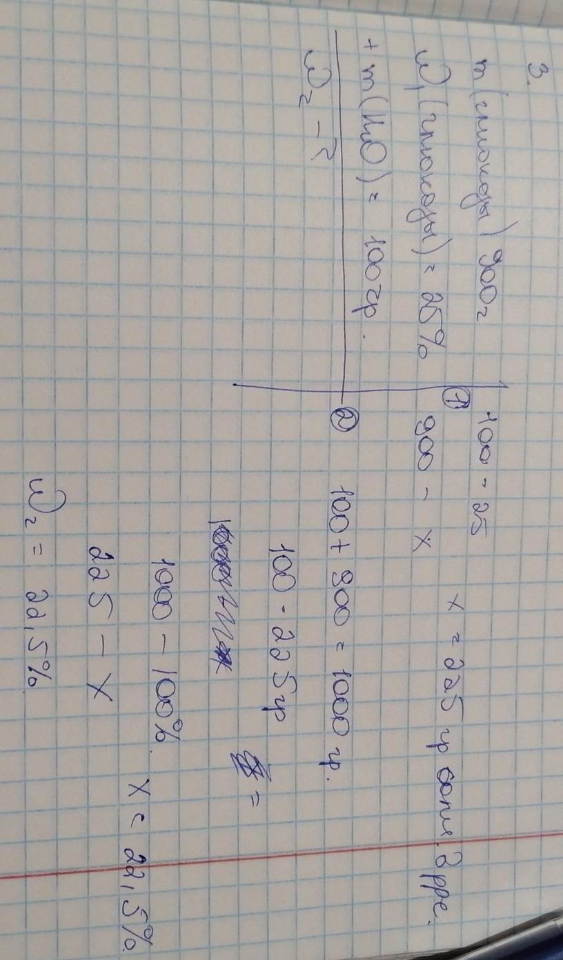
Надо найти процентную концентрацию
Три задачи, фото я прикреплю
ПОЖАЛУЙСТА РАСПИШИТЕ ВСЕ, ИЛИ ТАК ЖЕ ПРИШЛИТЕ ФОТО, С ПОДОБНЫМ РАЗЪЯСНЕНИЕМ И ВСЕМИ ДЕЙСТВИЯМИ
ЗАРАНЕЕ БОЛЬШОЕ СПАСИБО​

Приложения:

Ответы

Ответ дал: alinazemlyanskaya96
1

Ответ:

Решение в виде фото, разъяснения там же. Если есть вопросы обращайтесь

Приложения:
Вас заинтересует