• Предмет: Математика
  • Автор: klauez
  • Вопрос задан 3 года назад

Решите с чертежами и не только ответ, а решение. Срочно пожалуйста
80 баллов даю. Все 3 задания.

Приложения:

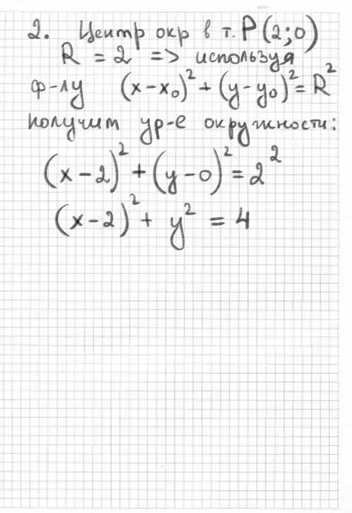
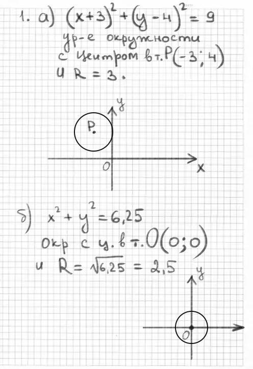
Ответы

Ответ дал: KseniaHarlequin
0

Ответ:

решение

Пошаговое объяснение:

в файлах

Приложения:
Вас заинтересует