Ответы
Ответ дал:
1
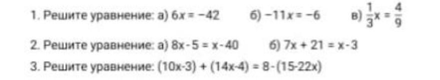
С полным решением. Надеюсь, что тебе это помогло
Приложения:

Вас заинтересует
2 года назад
2 года назад
2 года назад
2 года назад
7 лет назад
7 лет назад
9 лет назад
9 лет назад