• Предмет: Геометрия
  • Автор: vorsa2005
  • Вопрос задан 3 года назад

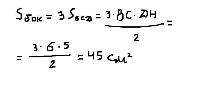
Помогите, пожалуйста, дам 45 баллов, у меня завтра контрольная, а я не понимаю ничего, от слова совсем, 10 класс

Приложения:

Ответы

Ответ дал: annaivanova9494
0

Ответ:

Объяснение:

5.         Нарисуем пирамиду, назовем центр основания O.

Нужно найти отрезок PO. Для этого нужно найти треугольник, из которого можно посчитать PO по теореме Пифагора( то есть прямоугольный треугольник, в котором участвует PO). Раз такого треугольника не видим явно из условия, придется его построить, при этом нужно задействовать известные данные. Нам известна диагональ квадрата, значит, можно посчитать его сторону, также известна длина  отрезка PH.

Поэтому построим треугольник POH, проведем OH. Треугольник POH будет прямоугольным, потому что PO - отрезок, соединяющий вершину правильной пирамиды с центром ее основания, а такой отрезок перпендикулярен основанию пирамиды. Тогда в ΔPOH угол ∠POH - прямой.

Осталось найти OH. Так как PO перпендикулярно плоскости основания, а PH перпендикулярно BC, то по следствию из теоремы о трех перпендикулярах OH будет перпендикулярно BC.

H - середина BC(PH - высота равнобедренного треугольника, значит, PH также и медиана, а Δ-к равнобедренный, потому что пирамида правильная ), поэтому CH в 2 раза меньше BC. Прямоугольные треугольники OHC и ABC подобны по двум углам, поэтому OH также в 2 раза меньше AB.

AB - сторона квадрата ABCD, а сторона квадрата в \sqrt{2} меньше его диагонали. Тогда AB =  12/

Теперь находим OP по теореме Пифагора

OP = \sqrt{PH^2 - OH^2} = \sqrt{27 - 36/2} = 3 см

Приложения:
Вас заинтересует