• Предмет: Математика
  • Автор: sasha26123
  • Вопрос задан 3 года назад

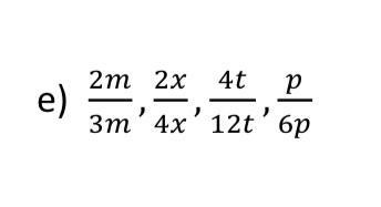
сократить дробь: 2m/3m. 2x/4x. 4t/12t. p/6p

Приложения:

Ответы

Ответ дал: Anny166
2

Ответ:

1) 2/3

2) 1/2

3) 1/3

4) 1/6


prettypushkova: Правильно только в 4) 1/6.
Ответ дал: katekrasnikova468
2
1) 2/3
2) 1/2
3) 1/3
4) 1/6

sasha26123: а тип можно с решением?
katekrasnikova468: Там просто нужно перечеркнуть буквы и через = записать этот ответ
Вас заинтересует