• Предмет: Алгебра
  • Автор: a9009315177
  • Вопрос задан 3 года назад

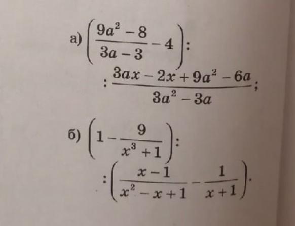
помогите пожалуйста решить​

Приложения:

Ответы

Ответ дал: almirbekkurmanbekov0
1

Ответ:

а. 3а²-2а дробная черта х+3а

Объяснение:

б. х²+2х+4

Вас заинтересует