• Предмет: Математика
  • Автор: sasha26123
  • Вопрос задан 3 года назад

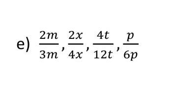
сократить дробь: 2m/3m. 2x/4x. 4t/12t. p/6p. с решением

Приложения:

33dilya33: я конечно точно не помню, но мне кажется неизвестные можно сократить,допустим неизвестное равно любому числу,например 2 и в числителе и в знаменателе 2 сокращается остается 2/3, второе число 1/2, третье число 1/3. забыла, кажется 1/6

Ответы

Ответ дал: ЧеТКиЙВсЕУмиЙ
0

Ответ:

Пошаговое объяснение:

в 1 ничего. нельзя сократить во 2 получается х/2х в 3 1t/3t в 4 тоже нечего


sasha26123: а где здесь решение?
sasha26123: тут только ответ, мне срочно нужно с пояснением, решением
Ответ дал: Аноним
0

Ответ: 2/3;1/2; 1/3;1/6

Пошаговое объяснение первое сокращаем на m; второе на 2х,  третье  на 4t, четвертое на р; получаем

2/3;1/2; 1/3;1/6


sasha26123: эм что
Вас заинтересует