• Предмет: Алгебра
  • Автор: kusays
  • Вопрос задан 3 года назад

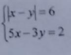
Решите систему уравнений, пожалуйлуууста ❤️❤️❤️

Приложения:

Ответы

Ответ дал: dasaubay
0

Объяснение:

Результат можно выразить в различном виде.

В виде точки:

(−8,−14),

(10,16)

Форма уравнения:

x=−8

y=−14

x=10

y=16

Приложения:
Вас заинтересует