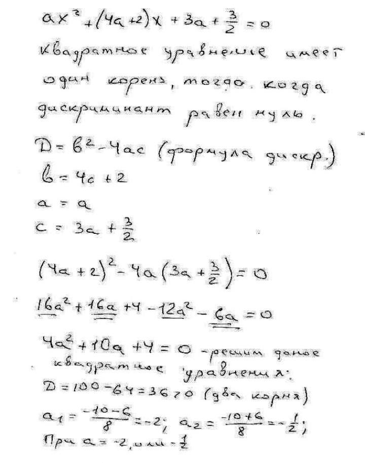
при каких значениях параметра a уравнение ax+(4a+2)x+3a+3/2=0 имеет единственное решение
nima78:
ax^2+(4x+2)x+3x+3/2=0
Ответы
Ответ дал:
2
Ответ:
Решение в добавленные файле
Приложения:

Вас заинтересует
2 года назад
2 года назад
2 года назад
7 лет назад