• Предмет: Алгебра
  • Автор: hellllllcutee
  • Вопрос задан 3 года назад

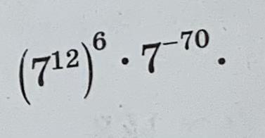
Найдите значение выражения

Приложения:

tamarabernukho: 49

Ответы

Ответ дал: bestuser657
1

(7^12)^6×7^-70 = 7^72×7^-70 = 7^2 = 49

Вас заинтересует