• Предмет: Математика
  • Автор: hansadaleyla
  • Вопрос задан 3 года назад

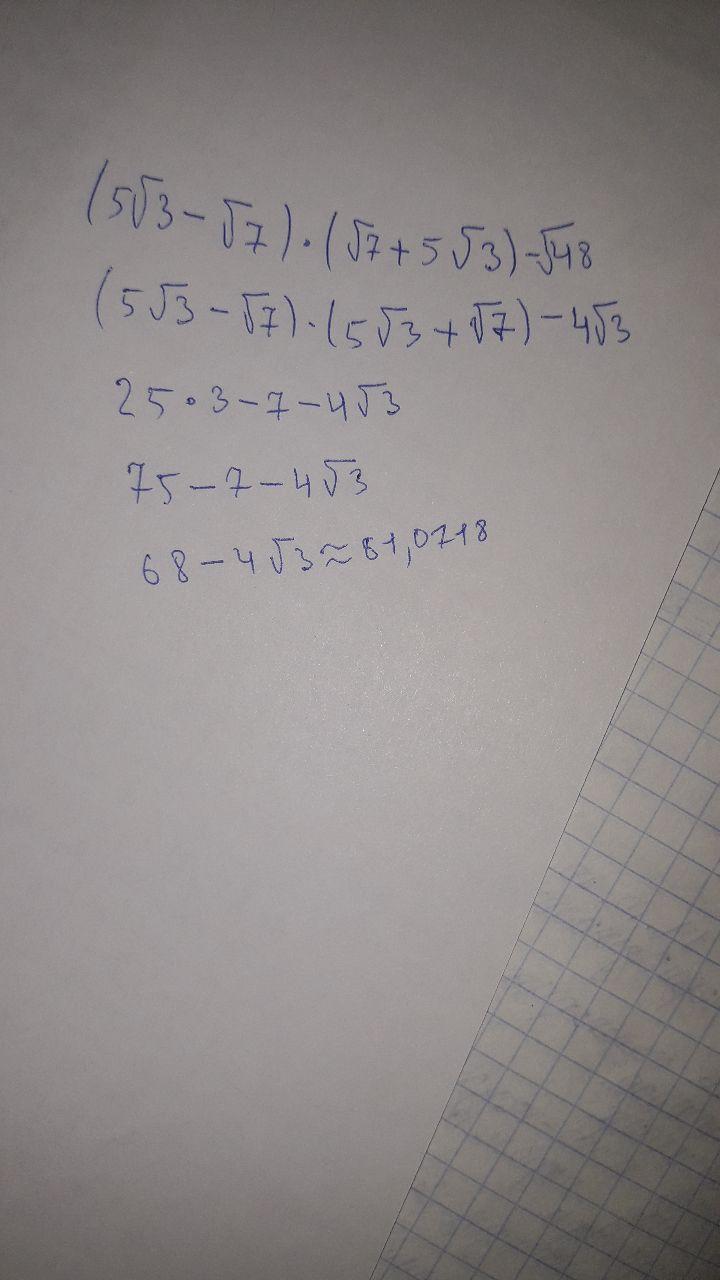
(5√3-√7)*(√7+5√3)-√48​

Ответы

Ответ дал: ersintem
1

Ответ:

Пошаговое объяснение:

Приложения:
Вас заинтересует