• Предмет: Алгебра
  • Автор: zvezdavnocnomnebesam
  • Вопрос задан 3 года назад

Помогите пожалуйста срочно​

Приложения:

Ответы

Ответ дал: calamburd
1

Объяснение:

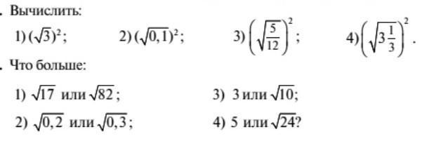
1) 3 2) 0,1 3) 5/12 4) 3 1/3

Что больше:

1) √82

2) √0,3

3) √10

4) 5


zvezdavnocnomnebesam: спасибо большое
Ответ дал: ayladekitty11123
0

Ответ:

1. 1)3 2.1)√17<√82

2)0,1 2)√0,2<√0,3

3)5/12 3)3<√10(3=√9)

4)3 1/3(10/3) 4)5>√24(5=√25)

Объяснение:

Вас заинтересует