• Предмет: Алгебра
  • Автор: baurjankazbekov2008
  • Вопрос задан 3 года назад

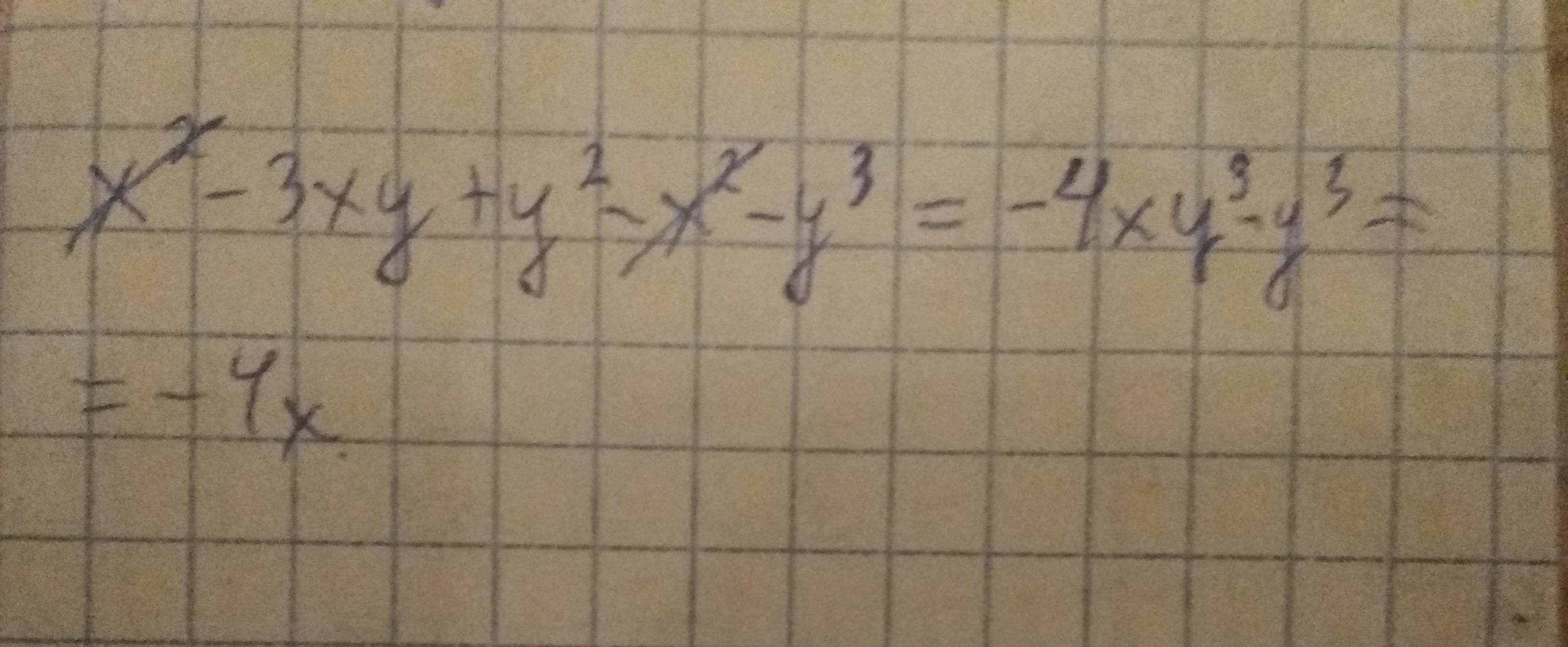
x^2-3xy+y^2-x^2-y^3
помогите​

Ответы

Ответ дал: ayladekitty11123
1

Ответ:

Я не уверена, но кажется так...Хотя кажется не правильно. Кто-нибудь проверьте(ответ на фото)

Объяснение:

Приложения:

baurjankazbekov2008: спосибо
ayladekitty11123: Пожалуйста :)
Вас заинтересует