Ответы
Ответ дал:
2
Ответ:
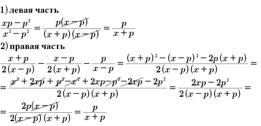
Объяснение:
...........................................................
Приложения:


funtv2116:
спасибо большое!
Вас заинтересует
2 года назад
2 года назад
2 года назад
7 лет назад
7 лет назад
9 лет назад