• Предмет: Математика
  • Автор: erikableev1502
  • Вопрос задан 3 года назад

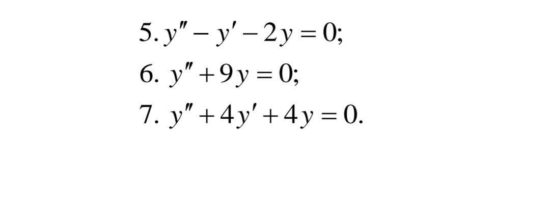
Помогите решить дифференциальные уравнения! 20 баллов

Приложения:

Ответы

Ответ дал: Miroslava227
1

в последнем второе слагаемое домножаем на х, так как два одинаковых корня

Приложения:
Вас заинтересует